728x90
반응형
- 개요
각각의 변환행렬에 대한 역행렬을 알아본다
1) 크기 변환행렬의 역행렬

크기 변환행렬은 위와 같이 표현한다

크기 변환행렬의 역행렬은 위와 같이 표현한다
원본 공간에서 x축을 a배, y축을 b배만큼 크기를 변화시켰으므로 이의 역수를 사용한다
크기 변환행렬의 역행렬을 행렬곱의 인자로 사용하면 두 기저벡터는 다시 표준기저벡터로 변환된다
2) 전단 변환행렬의 역행렬

전단 변환행렬은 위와 같이 표현한다

전단 변환행렬의 역행렬은 위와 같이 표현한다
원본 공간에서 (0, 1)의 표준기저벡터를 a만큼 밀었으므로 a의 반대수를 대입한다
전단 변환행렬의 역행렬을 행렬곱의 인자로 사용하면 두 기저벡터는 다시 표준기저벡터로 변환된다
3) 회전 변환행렬의 역행렬

회전 변환행렬은 위와 같이 표현한다

회전 변환행렬의 역행렬은 위와 같이 표현한다
cos(-θ) = cosθ / sin(-θ) = -sinθ인 성질을 이용하여 위와 같이 표현할 수 있다

회전 변환행렬과 회전 변환행렬의 역행렬은 서로 전치 관계에 있으므로
별도로 삼각함수를 사용하지 않고 기존 회전 변환행렬에 전치연산을 적용하여 역행렬을 구할 수 있다
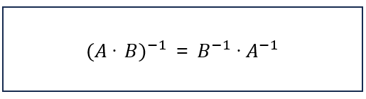
4) 행렬곱의 역행렬

행렬곱은 합성함수에 해당하므로 역행렬도 동일하게 위와 같은 식이 성립한다
728x90
반응형
'수학 > 이득우의 게임 수학' 카테고리의 다른 글
| 아핀 공간의 구성 요소 (0) | 2025.09.24 |
|---|---|
| 아핀 공간 & 아핀 변환 (0) | 2025.09.24 |
| 행렬식 - 역행렬의 존재를 판별하는 식 (0) | 2025.09.17 |
| 역행렬 (0) | 2025.09.17 |
| 삼각함수의 덧셈 정리 (0) | 2025.09.10 |