728x90
반응형
- 개요
회전은 물체를 이동시키고 크기를 늘리는 동작과는 다르게 x와 y가 함께 영향을 받는 동작이다
따라서 데카르트 좌표계에서 회전을 구현하면 x와 y의 변화를 매번 계산해야 하는 번거로움이 존재한다
이런 문제를 해결하기 위해 회전 동작을 기반으로 설계된 좌표계를 사용할 수 있다
그리고 이러한 좌표계를 극좌표계(Polar Coordinate System)라고 한다
- 극좌표계의 개념
극좌표계는 원점으로부터의 거리 r과 각 θ의 두 요소로 구성되며 극좌표계의 좌표는 (r, θ)로 표시한다
극좌표계는 다음과 같이 동심원의 형태로 평면의 모든 점을 표현하고,
주로 시간에 따른 회전의 움직임을 구현하거나 회전에 관련된 효과를 연출할 때 사용한다

극좌표계는 위와 같이 표현할 수 있다
원점으로부터 r만큼의 거리에서 각 θ만큼 회전한 좌표 (r, θ)를 위와 같이 표현하였다
- 데카르트 좌표계와 극좌표계
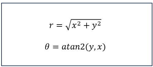
1) 데카르트 좌표계의 좌표 -> 극좌표계의 좌표

데카르트 좌표게의 임의의 벡터 (x, y)는 벡터의 크기와 atan2 함수를 이용하여 극좌표계로 변환할 수 있다
2) 극좌표계의 좌표 -> 데카르트 좌표계의 좌표

반대로 극좌표계의 임의의 벡터 (r, θ)는 cos 함수와 sin 함수를 사용하여 데카르트 좌표계로 변환할 수 있다
728x90
반응형
'수학 > 이득우의 게임 수학' 카테고리의 다른 글
| 벡터 공간의 선형 변환 (0) | 2025.08.06 |
|---|---|
| 선형성 (0) | 2025.08.06 |
| atan2 함수 (0) | 2025.07.31 |
| 삼각함수의 역함수 (0) | 2025.07.31 |
| 삼각함수를 이용한 물체의 회전 (0) | 2025.07.30 |