- 개요
사용자의 입력에 실시간으로 반응하는 게임을 제작하기 위해서는 공간을 빠르게 변환하는 시스템이 필요하다
공간을 빠르게 변환하는 시스템의 수학적 배경에는 행렬이 존재한다
그러나 행렬의 원리와 활용 방법을 파악하기 위해서는 선형성 관계에 대해 이해해야 한다
1) 선형성이란?

위의 좌표계의 그림에서 볼 수 있는 붉은색 직선이 지니는 성질을 선형성(Linearity)이라고 부른다
즉, 선형성은 직선의 형태를 띄는 성질을 의미한다
그러나 위의 방식은 직선이 뻗어 있다라는 감각에 의존한 추론 결과이므로 비합리적이다
따라서 쭉 뻗어 있다라는 직선의 성질을 참과 거짓으로 구분할 수 있는 명제로 바꿔 표현하는 것이 합리적이다
수학에서는 선형성을 다음의 2가지 조건을 만족하는 함수의 성질로 정의한다

2) 선형 함수들에 대한 선형성의 증명
1) y = ax 함수에 대한 증명

직선의 형태를 띄는 f(x) = ax 함수가 수학적으로 선형성을 만족하는지 확인한다
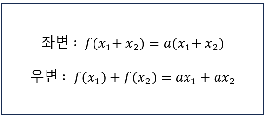
1 - 1) 가법성

f(x) = ax 함수에 두개의 미지수 x1과 x2를 대입해 좌변과 우변을 계산한 결과는 위와 같다
이때 a / x1 / x2가 모두 체의 성질을 가지는 실수라면 분배법칙이 성립하므로 f(x) = ax 함수는 가법성을 만족한다
1 - 2) 1차 동차성

마찬가지로 1차 동차성의 식에 함수 f(x) = ax를 대입한 결과 위와 같이 좌변과 우변이 계산되었다
마찬가지로 a / x / k가 모두 체의 성질을 가지는 실수라면 결합법칙과 교환법칙이 성립하므로
f(x) = ax 함수는 1차 동차성을 만족한다
따라서 f(x) = ax 함수는 선형성을 만족한다
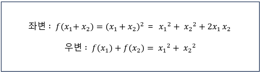
2) y = x^2 함수에 대한 증명

다음으로 곡선의 형태를 띄는 f(x) = x^2 함수가 수학적으로 선형성을 만족하는지 확인한다
2 - 1) 가법성

좌변과 우변의 결과가 다르므로 가법성을 만족하지 못한다
따라서 f(x) = x^2 함수는 선형성을 만족하지 못한다
3) y = ax + b 함수에 대한 증명

다음으로 직선의 형태를 띄는 f(x) = ax + b 함수가 수학적으로 선형성을 만족하는지 확인한다
3 - 1) 가법성

2)의 경우와 마찬가지로 좌변과 우변의 값이 다르므로 가법성을 만족하지 못한다
따라서 f(x) = ax + b 함수는 선형성을 만족하지 못한다
- 결론
계산 결과에서 알 수 있는 점은 선형성은 단순하게 곧게 뻗은 직선의 성질이 아닌,
두 집합의 순수한 비로 구성된 1차적 대응관계를 의미하는 것을 알 수 있다
따라서 입력값에 따른 출력값을 알 수 있고, 역함수를 통해 출력값에 따른 입력값을 알 수 있다
'수학 > 이득우의 게임 수학' 카테고리의 다른 글
| 행렬 (0) | 2025.08.13 |
|---|---|
| 벡터 공간의 선형 변환 (0) | 2025.08.06 |
| 극좌표계 (0) | 2025.07.31 |
| atan2 함수 (0) | 2025.07.31 |
| 삼각함수의 역함수 (0) | 2025.07.31 |