728x90
반응형
- 개요
물체를 이동시키고 늘리는 동작은 서로 수직인 x축과 y축이 서로 독립적으로 적용된다
따라서 x축과 y축을 분리하여 따로따로 계산한 후에 두 결과를 결합한 것과 동일하다
그러나 회전은 x와 y 값이 함께 영향을 미치기 때문에 x축과 y축을 분리해 독립적으로 계산할 수 없다
- 삼각함수를 통해 회전을 구현하기 위한 과정

위와 같이 구성된 실벡터공간이 존재하고, 해당 공간에 두개의 표준기저벡터 u와 w가 존재한다고 가정한다
이때 해당 공간에 속한 모든 벡터는 u와 w의 선형 결합에 의해 생성된다
회전을 위해 실벡터 공간 전체를 θ만큼 회전시킨다면, 두 표준기저 벡터의 좌표는 위와 같이 변화한다
이때 θ만큼 회전한 이후 생성된 두개의 벡터의 좌표를 다음과 같이 정의할 수 있다
- 벡터 u로부터 생성된 벡터 v = (cos θ, sin θ)
- 벡터 w로부터 생성된 벡터 a = (-sin θ, cos θ)
위와 같이 생성된 벡터를 사용하여 각 θ만큼 회전하면 벡터가 어떻게 변화되는지 수식으로 확인한다
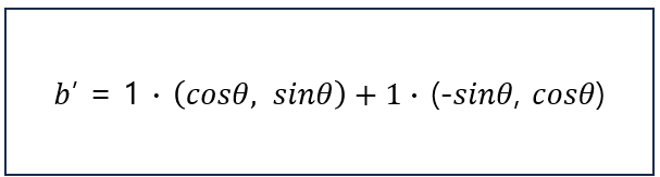
좌표 (1, 1)의 값을 가진 벡터 b를 사용하여 이를 확인한다
1) 회전하기 이전의 벡터 b

회전하기 이전의 벡터 b는 표준기저 벡터 u와 w를 사용하여 위와 같은 선형 결합식으로 표현할 수 있다
2) 회전한 이후의 벡터 b’

각 θ만큼 회전한 벡터 b’는 표준기저 벡터 u와 w를 회전한 벡터 v와 a를 사용하여 위와 같이 표현할 수 있다
- 결론

2)의 식에서 확인할 수 있는 결과로 보아 임의의 벡터 (x, y)가 θ만큼 회전한 결과의 벡터 (x', y')는 위와 같다
728x90
반응형