728x90
반응형
- 개요
회전 변환행렬(Rotation Transformation Matrix)은 주어진 각 θ로 벡터 공간을 회전시키는 행렬을 의미한다
1) 90°에 대한 회전 변환행렬
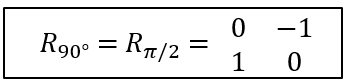
1 - 1) 반시계 방향(양의 방향)으로 회전하는 회전 변환행렬

표준기저벡터 (0, 1)과 (1, 0)에 대해서 반시계 방향(양의 방향)으로 90° 회전하면 다음과 같이 좌표가 변경된다
- 표준기저벡터 (0, 1)을 90° 회전한 벡터 : (0, 1)
- 표준기저벡터 (1, 0)을 90° 회전한 벡터 : (-1, 0)
따라서 양의 방향으로 90° 회전을 수행하는 행렬은 다음과 같이 설계할 수 있다

1 - 2) 시계 방향(음의 방향)으로 회전하는 회전 변환행렬

표준기저벡터 (0, 1)과 (1, 0)에 대해서 시계 방향(음의 방향)으로 90° 회전하면 다음과 같이 좌표가 변경된다
- 표준기저벡터 (0, 1)을 -90° 회전한 벡터 : (1, 0)
- 표준기저벡터 (1, 0)을 -90° 회전한 벡터 : (0, -1)
따라서 음의 방향으로 90° 회전을 수행하는 행렬은 다음과 같이 설계할 수 있다

*** 행렬을 사용하지 않고 90° 회전을 구현하는 방법 ***
2차원 벡터를 90°로 변환하는 작업은 행렬을 사용하지 않고도 구현이 가능하다
- 시계 반대 방향(양의 회전)으로 90° 회전하는 경우 : v = (-y, x)
- 시계 방향(음의 회전)으로 90° 회전하는 경우 : v = (y -x)
2) 90°가 아닌 주어진 각에 대한 회전 변환행렬

임의의 벡터 v를 θ만큼 회전시키는 공식은 (cosθx - sinθy, sinθx + cosθy)이므로 위와 같은 결과를 얻을 수 있다
따라서 표준기저벡터가 각 θ만큼 회전했을 때의 벡터는 다음과 같다
- (1, 0)의 벡터를 각 θ만큼 회전한 벡터 : (cosθ, sinθ)
- (0, 1)의 벡터를 각 θ만큼 회전한 벡터 : (-sinθ, cosθ)
따라서 각 θ에 대한 회전행렬은 다음과 같이 설계할 수 있다

728x90
반응형
'수학 > 이득우의 게임 수학' 카테고리의 다른 글
| 삼각함수의 덧셈 정리 (0) | 2025.09.10 |
|---|---|
| 진단 변환행렬 (0) | 2025.09.10 |
| 크기 변환행렬 (0) | 2025.09.03 |
| 행렬의 설계 (0) | 2025.09.03 |
| 열 기준 행렬과 행 기준 행렬 (0) | 2025.08.20 |