728x90
반응형
- 개요
가상 공간에서 사용자의 입력에 실시간으로 반응하는 콘텐츠를 만들기 위해서는 다음의 동작이 필요하다
- 가상 공간의 구조를 빠르게 분석
- 가상 공간에 놓인 물체가 어떤 상황인지 측정
이런 상황에서 사용할 수 있는 것이 바로 벡터의 내적과 추후에 다룰 벡터의 외적이다
- 벡터의 내적

벡터의 내적은 같은 차원에 존재하는 2개의 벡터가 주어졌을 때,
벡터를 구성하는 각 성분을 곱한 후에 이들을 합쳐서 스칼라를 만들어내는 연산이다
이때 곱셈 기호와 동일한 가운뎃점(·) 연산자를 사용하여 계산을 수행한다
- 내적의 성질
벡터의 내적의 성질은 모든 차원의 벡터에 동일하게 적용된다
1) 교환법칙 성립

내적은 스칼라의 곱셈과 덧셈으로 구성되어 있으므로 교환법칙이 성립한다
2) 결합법칙 불성립

벡터의 내적의 결과는 스칼라로 나오므로 결합법칙은 불성립한다
3) 분배법칙 성립

벡터의 내적은 덧셈에 대한 분배법칙이 성립한다
4) 벡터의 크기와 벡터의 내적간의 관계

같은 벡터를 내적하면 벡터의 크기를 제곱한 결과와 동일하다

위의 성질을 응용하면 같은 벡터의 내적의 제곱근은 벡터의 크기와 동일한 것을 확인할 수 있다

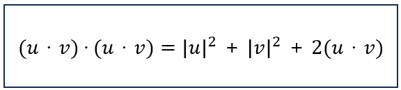
벡터의 내적은 교환법칙과 분배법칙이 성립하므로 두 벡터 합의 내적은 두 벡터의 크기로 표현할 수 있다
728x90
반응형
'수학 > 이득우의 게임 수학' 카테고리의 다른 글
| 벡터의 내적과 행렬의 곱셈 (0) | 2025.11.05 |
|---|---|
| 벡터의 내적과 삼각함수의 관계 (0) | 2025.11.05 |
| 라인 클리핑 알고리즘 (0) | 2025.10.29 |
| 선 그리기 알고리즘 - 브레젠험 알고리즘 (0) | 2025.10.15 |
| 선 그리기 알고리즘 - 컴퓨터에서의 점 표현 (0) | 2025.10.01 |